晶振官方博客
更多>>CRYSTEK發布低相位噪聲時鐘晶體振蕩器原廠編碼CPRO33-16.384
來源:http://www.zzlyqc.cn 作者:hius 2023年06月14
CRYSTEK發布低相位噪聲時鐘晶體振蕩器原廠編碼CPRO33-16.384,雖然有助于理解相位噪聲和抖動高性能振蕩器,本文還研究了振蕩器相位噪聲對系統性能的影響, 強調使用超低相位噪聲的重要性系統中的振蕩器。
對一個電氣工程師來說,在理想的世界里噪音。但是什么是噪音呢?什么是電氣噪聲?或者更多本文的觀點:什么是相位噪聲?作為工程師,我們憑直覺知道系統中的低噪聲比高噪聲好噪音。然而,我們通常必須量化這種噪聲接受的單位。我們還將研究相位的差異商用與低成本、高性能石英晶體振蕩器的噪聲性能。了解成本振蕩器之間的性能權衡對于來說非常重要系統設計。很多時候,我們看到兩個競爭系統在性能上差距很大,但在價格上差距不大。這振蕩器相位噪聲特性將主導整個系統性能,并在振蕩器可以提高系統的性能。

CRYSTEK發布低相位噪聲時鐘晶體振蕩器原廠編碼CPRO33-16.384,然而,工程師很容易過度指定SPXO振蕩器, 因此,關鍵是要準確理解振蕩器 相位噪聲(或抖動)會限制系統性能。來幫忙 有了這樣的理解,關于相位噪聲和抖動的教程就在 秩序。
對一個電氣工程師來說,在理想的世界里噪音。但是什么是噪音呢?什么是電氣噪聲?或者更多本文的觀點:什么是相位噪聲?作為工程師,我們憑直覺知道系統中的低噪聲比高噪聲好噪音。然而,我們通常必須量化這種噪聲接受的單位。我們還將研究相位的差異商用與低成本、高性能石英晶體振蕩器的噪聲性能。了解成本振蕩器之間的性能權衡對于來說非常重要系統設計。很多時候,我們看到兩個競爭系統在性能上差距很大,但在價格上差距不大。這振蕩器相位噪聲特性將主導整個系統性能,并在振蕩器可以提高系統的性能。

CRYSTEK發布低相位噪聲時鐘晶體振蕩器原廠編碼CPRO33-16.384,然而,工程師很容易過度指定SPXO振蕩器, 因此,關鍵是要準確理解振蕩器 相位噪聲(或抖動)會限制系統性能。來幫忙 有了這樣的理解,關于相位噪聲和抖動的教程就在 秩序。
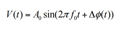
在振蕩器中,相位噪聲是指 輸出信號的相位分量。這個等式 信號是:

其中: A0 =標稱峰值電壓 f0 =標稱基頻 t =時間
Δφ( )t = =相位與標稱值的隨機偏差——“相位” 噪音。"
上圖中,δφ()t是相位噪聲,但A0將建立 信噪比。說明了這一點。
CRYSTEK公司推出更具有優勢的產品編碼CPRO33-16.384,型號CPRO,尺寸11*33mm,頻率為16.384MHZ,頻率穩定性±25ppm,支持輸出HCMOS,XO時鐘晶振振蕩器(標準),電壓3.3V,產品具備超高的穩定性能,比較適合用于航空電子,無線網絡,醫療產品等領域。

其中: A0 =標稱峰值電壓 f0 =標稱基頻 t =時間
Δφ( )t = =相位與標稱值的隨機偏差——“相位” 噪音。"
上圖中,δφ()t是相位噪聲,但A0將建立 信噪比。說明了這一點。
| 晶振廠家原廠代碼 | 品牌 | 型號 | 類型 | 頻率 | 頻率穩定度 | 工作溫度 |
| CCO-983-100.000 | CRYSTEK振蕩器 | CCO | XO (Standard) | 100MHz | ±25ppm | 0°C ~ 70°C |
| CCO-983-200.000 | CRYSTEK振蕩器 | CCO | XO (Standard) | 200MHz | ±25ppm | 0°C ~ 70°C |
| CVPD-940-74.1758 | CRYSTEK振蕩器 | CVPD-940 | VCXO | 74.1758MHz | - | 0°C ~ 70°C |
| CVPD-940-74.250 | CRYSTEK振蕩器 | CVPD-940 | VCXO | 74.25MHz | - | 0°C ~ 70°C |
| CPRO33-80.000 | CRYSTEK振蕩器 | CPRO | XO (Standard) | 80MHz | ±25ppm | 0°C ~ 70°C |
| CVPD-970X-625 | CRYSTEK振蕩器 | CVPD-970 | VCXO | 625MHz | ±25ppm | -40°C ~ 85°C |
| CPRO33-4.000 | CRYSTEK振蕩器 | CPRO | XO (Standard) | 4MHz | ±25ppm | 0°C ~ 70°C |
| CPRO33-5.000 | CRYSTEK振蕩器 | CPRO | XO (Standard) | 5MHz | ±25ppm | 0°C ~ 70°C |
| CPRO33-8.000 | CRYSTEK振蕩器 | CPRO | XO (Standard) | 8MHz | ±25ppm | 0°C ~ 70°C |
| CPRO33-12.000 | CRYSTEK振蕩器 | CPRO | XO (Standard) | 12MHz | ±25ppm | 0°C ~ 70°C |
| CPRO33-16.000 | CRYSTEK振蕩器 | CPRO | XO (Standard) | 16MHz | ±25ppm | 0°C ~ 70°C |
| CPRO33-16.384 | CRYSTEK振蕩器 | CPRO | XO (Standard) | 16.384MHz | ±25ppm | 0°C ~ 70°C |
| CPRO33-25.000 | CRYSTEK振蕩器 | CPRO | XO (Standard) | 25MHz | ±25ppm | 0°C ~ 70°C |
| CPRO33-32.768 | CRYSTEK振蕩器 | CPRO | XO (Standard) | 32.768MHz | ±25ppm | 0°C ~ 70°C |
| CPRO33-44.736 | CRYSTEK振蕩器 | CPRO | XO (Standard) | 44.736MHz | ±25ppm | 0°C ~ 70°C |
| CPRO33-45.000 | CRYSTEK振蕩器 | CPRO | XO (Standard) | 45MHz | ±25ppm | 0°C ~ 70°C |
| CPRO33-62.500 | CRYSTEK振蕩器 | CPRO | XO (Standard) | 62.5MHz | ±25ppm | 0°C ~ 70°C |
| CPRO33-77.760 | CRYSTEK振蕩器 | CPRO | XO (Standard) | 77.76MHz | ±25ppm | 0°C ~ 70°C |
| CPRO33-106.250 | CRYSTEK振蕩器 | CPRO | XO (Standard) | 106.25MHz | ±25ppm | 0°C ~ 70°C |
| CVPD-940X-156.25 | CRYSTEK振蕩器 | CVPD-940 | VCXO | 156.25MHz | - | -40°C ~ 85°C |
| CVPD-940X-161.1328 | CRYSTEK振蕩器 | CVPD-940 | VCXO | 161.1328MHz | - | -40°C ~ 85°C |
| CVPD-940X-166.6286 | CRYSTEK振蕩器 | CVPD-940 | VCXO | 166.6286MHz | - | -40°C ~ 85°C |
| CVPD-940X-167.3316 | CRYSTEK振蕩器 | CVPD-940 | VCXO | 167.3316MHz | - | -40°C ~ 85°C |
| CVPD-940X-77.760 | CRYSTEK振蕩器 | CVPD-940 | VCXO | 77.76MHz | - | -40°C ~ 85°C |
| PPRO30-19.200 | CRYSTEK振蕩器 | PPRO | TCXO | 19.2MHz | ±2.5ppm | -20°C ~ 75°C |
| CVPD-940X-155.520 | CRYSTEK振蕩器 | CVPD-940 | VCXO | 155.52MHz | - | -40°C ~ 85°C |
| CVPD-970X-666.5143 | CRYSTEK振蕩器 | CVPD-970 | VCXO | 666.514MHz | ±25ppm | -40°C ~ 85°C |
| CVPD-970X-669.1281 | CRYSTEK振蕩器 | CVPD-970 | VCXO | 669.1281MHz | ±25ppm | -40°C ~ 85°C |
| CVPD-970X-669.3265 | CRYSTEK振蕩器 | CVPD-970 | VCXO | 669.3265MHz | ±25ppm | -40°C ~ 85°C |
| CCHD-950-20-104.000 | CRYSTEK振蕩器 | CCHD-950 | XO (Standard) | 104MHz | ±20ppm | 0°C ~ 70°C |
| CVPD-970X-644.5313 | CRYSTEK振蕩器 | CVPD-970 | VCXO | 644.5313MHz | ±25ppm | -40°C ~ 85°C |
| CVPD-940X-212.500 | CRYSTEK振蕩器 | CVPD-940 | VCXO | 212.5MHz | - | -40°C ~ 85°C |
| CRBSCS-01-1244.160 | CRYSTEK振蕩器 | CRBSCS, RedBox | RF Clock Source | 1.24416GHz | ±150ppm | -40°C ~ 85°C |
| CO27VH15DE-02-10.000 | CRYSTEK振蕩器 | CO27 | OCXO | 10MHz | ±200ppb | -20°C ~ 80°C |
| CO27VS12DE-02-10.000 | CRYSTEK振蕩器 | CO27 | OCXO | 10MHz | ±200ppb | -20°C ~ 80°C |
| CO27VS05DE-02-10.000 | CRYSTEK振蕩器 | CO27 | OCXO | 10MHz | ±200ppb | -20°C ~ 80°C |
| CCPD-034-50-311.040 | CRYSTEK振蕩器 | CCPD-034 | XO (Standard) | 311.04MHz | ±50ppm | 0°C ~ 70°C |
| CCPD-034-50-312.500 | CRYSTEK振蕩器 | CCPD-034 | XO (Standard) | 312.5MHz | ±50ppm | 0°C ~ 70°C |
| CCLD-912-50-100.000 | CRYSTEK振蕩器 | CCLD | XO (Standard) | 100MHz | ±50ppm | 0°C ~ 70°C |
| CCLD-912-50-125.000 | CRYSTEK振蕩器 | CCLD | XO (Standard) | 125MHz | ±50ppm | 0°C ~ 70°C |
| CCLD-912-50-133.000 | CRYSTEK振蕩器 | CCLD | XO (Standard) | 133MHz | ±50ppm | 0°C ~ 70°C |
| CCLD-912-50-156.250 | CRYSTEK振蕩器 | CCLD | XO (Standard) | 156.25MHz | ±50ppm | 0°C ~ 70°C |
| CCPD-034-400.000 | CRYSTEK振蕩器 | CCPD-034 | XO (Standard) | 400MHz | ±100ppm | 0°C ~ 70°C |
| CCPD-034M-50-311.040 | CRYSTEK振蕩器 | CCPD-034 | XO (Standard) | 311.04MHz | ±50ppm | -20°C ~ 70°C |
| CCPD-034X-50-311.040 | CRYSTEK振蕩器 | CCPD-034 | XO (Standard) | 311.04MHz | ±50ppm | -40°C ~ 85°C |
| CCPD-912X-25-100 | CRYSTEK振蕩器 | CCPD-912 | XO (Standard) | 100MHz | ±25ppm | -40°C ~ 85°C |
| CCPD-912X-25-106.25 | CRYSTEK晶振 | CCPD-912 | XO (Standard) | 106.25MHz | ±25ppm | -40°C ~ 85°C |
| CCPD-912X-25-125 | CRYSTEK振蕩器 | CCPD-912 | XO (Standard) | 125MHz | ±25ppm | -40°C ~ 85°C |
| CCPD-912X-25-155.52 | CRYSTEK振蕩器 | CCPD-912 | XO (Standard) | 155.52MHz | ±25ppm | -40°C ~ 85°C |
| CCPD-912X-25-156.25 | CRYSTEK振蕩器 | CCPD-912 | XO (Standard) | 156.25MHz | ±25ppm | -40°C ~ 85°C |
| CCPD-912X-25-161.1328 | CRYSTEK振蕩器 | CCPD-912 | XO (Standard) | 161.1328MHz | ±25ppm | -40°C ~ 85°C |
| CCPD-912X-25-77.76 | CRYSTEK振蕩器 | CCPD-912 | XO (Standard) | 77.76MHz | ±25ppm | -40°C ~ 85°C |
| CCPD-915-50-212.500 | CRYSTEK振蕩器 | CCPD-915 | XO (Standard) | 212.5MHz | ±50ppm | 0°C ~ 70°C |
| CCPD-915M-50-212.5 | CRYSTEK振蕩器 | CCPD-915 | XO (Standard) | 212.5MHz | ±50ppm | -20°C ~ 70°C |
| CCPD-915M-50-245.76 | CRYSTEK振蕩器 | CCPD-915 | XO (Standard) | 245.76MHz | ±50ppm | -20°C ~ 70°C |
| CCPD-915M-50-250 | CRYSTEK振蕩器 | CCPD-915 | XO (Standard) | 250MHz | ±50ppm | -20°C ~ 70°C |
正在載入評論數據...
相關資訊
- [2025-06-24]Greenray插件YH1300恒溫晶振OCXO的輸出...
- [2024-03-14]RTV119系列性能超強的溫補晶振由安德森...
- [2024-03-14]IQD最新推出IQXC-26系列體積超小耐輻射...
- [2024-03-12]Pletronics晶振最新推出的OSN4系列恒溫...
- [2024-03-08]回顧Bliley晶振八十多年的歷史進程
- [2024-03-08]Bliley如何測量并減少晶振老化帶來的影...
- [2024-03-07]Crystek行業標桿壓控晶振CVCO33BE-2352...
- [2023-09-28]遙遙領先的GEYER晶振跟大家一起探討尺寸...
- [2023-09-26]領先全球的HELE晶振帶你了解從原始石英...
- [2023-09-23]領先全球的Renesas Electronics Corpor...
- [2023-09-21]遙遙領先的Skyworks電子晶振有助于加快...
- [2023-09-19]關于遙遙領先的Skyworks Electronics公...


銷售代表
售后服務