晶振官方博客
更多>>簡單了解石英晶振的形成及溫度特性
來源:http://www.zzlyqc.cn 作者:康華爾 2018年02月08
石英諧振器的形成及等效電路
石英晶振是一種重要的電子材料,石英晶體是一種單晶體結構的硅石,其成分是二氧化硅(SAO2),其形狀為六角形晶柱,兩端呈六棱錐形狀,從石英晶體上按照一定的方位切一片很薄的石英晶片,晶體的分布非常廣泛,自然界的固體物質中,絕大多數是晶體.氣體、液體和非晶物質在一定的合適條件下也可以轉變成晶體。而晶體可做成不同頻率類型的石英晶振,有源晶振,以及各種封裝尺寸晶振,3225晶振,2016貼片晶振,5032貼片晶振等
如圖2-1所示,按照不同的角度得到的石英晶片可以做成不同的石英晶振。
.JPG)
然后對石英晶片進行高精度研磨,使其達到特定要求的尺寸。接著在晶片的兩面涂敷金屬電極層,并且每個電級層與管腳相連,最后為了保護晶片,加上封裝外殼就形成了石英晶體諧振器。當封裝前加入元器件,構成振蕩電路以后再封裝就構成了石英晶振。
石英諧振器的表示符號和等效電路如圖2-2所示。其中L1為串聯等效電感,C1為串聯等效電容,R1為串聯等效電阻,Co為靜態電容。當石英諧振器沒有振動時,就可以等效成一個平板電容。其電容容量則取決于石英晶片的幾何尺寸和涂敷的金屬電極的尺寸。
當石英諧振器振動時,石英晶片就等效成一個串聯諧振回路。其中L相當于機械振動的慣性,C1相當于石英晶片的彈性,R1相當于石英晶片振動時由于摩擦而產生的損耗。因為L很大,C1和R1很小,因此回路的品質因數極高,可達100000~10000。
.JPG)
2.3石英諧振器的諧振頻率
如圖2-2,石英諧振器的等效電路是一個復諧振電路,有兩個諧振頻率。一個是晶片的自然振動頻率,也就是L1C1支路的串聯諧振頻率ωr:

另一個是石英諧振器的并聯諧振頻率ωL:

其中,C是C0和C1串聯后的總電容。出于C1>C,因此ωL>0r,。但是又因為C1<0, 所以這兩個諧振頻率又是十分接近的[9]。
2.4石英諧振器的電抗曲線
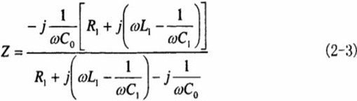
根據圖2-2等效電路可計算出該電路的阻抗為:

為了簡化計算,忽略電阻R1的影響,則阻抗的公式可簡化為只有電抗分量:

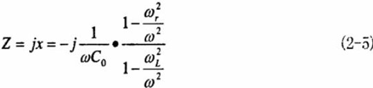
將(2-4)式分子和分母同時乘以 ,并將式(2-1),(2-2)代人,則有:
由式2-5可知,電抗X是頻率a的函數,其值和呈現的容性或感性都取決于頻率a。
可以根據該式,畫出貼片晶振的電抗曲線如圖2-3所示[9]。

由式2-5可知,電抗X是頻率a的函數,其值和呈現的容性或感性都取決于頻率a。可以根據該式,畫出石英諧振器的電抗曲線如圖2-3所示[9]。

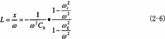
由圖2-3可知,當0<0<0,時,石英諧振器的電抗呈現出容性,即可以等效為個電容。當o=o,時,石英諧振器的電抗為0,出現串聯諧振現象。當0L>0)>0r時,石英諧振器的電抗呈現出感性,即可以等效為一個電感L。當a=0時,石英諧振器產生并聯諧振,此時的電抗為。當0>02以后,石英諧振器的電抗呈現出容性, 即可以等效為一個電容。在實際應用中,都會使石英諧振器工作在0n>>0,即將石英諧振器等效為一個電感L使用。則根據式2-5可得到:

出式2-6可知,電感L也是頻率ω的函數。在ωL>ω>ωr區間,電感L的值隨著ω增加而不斷增加,且當ω=ωr時,電感L的值為0:;當ω=ωr時,電感L的值為∞[9]
2.5石英晶振的溫度特性
石英晶振的一個主要的特性是溫度特性。所謂溫度特性是指頻率的偏移量隨菥溫度變化的關系。石英晶振的溫度特性主要由石英晶片的密度、外形尺寸、以及彈性率的溫度特性決定。為此要使石英晶振的溫度特性達到最優,只需將這三個溫度特性合成后趨于0即可。
因此,在石英晶振的實際設計中,努力尋找在指定溫度范圍內的這種最優條件。不同類型的石英晶振之所以要使用不同切割角度的石英晶片,就是設計人員根據不同的應用(包括使用的頻率和振動方式等)依據這個特性所決定的。
圖2-1是不同切割角度的溫度特性的比較。從圖中可以看出,當溫度在大于30℃時,按照AT角度切割的石英晶片的特性曲線比其他的特性曲線都平坦,說明在此溫度范圍內溫度變化后頻率產生的偏移量最小,溫度特性也最佳,如圖2-5所示,同是AT切割的時候,當切割角度有少量偏差時溫度特性曲線也會隨之變化。

石英晶振是一種重要的電子材料,石英晶體是一種單晶體結構的硅石,其成分是二氧化硅(SAO2),其形狀為六角形晶柱,兩端呈六棱錐形狀,從石英晶體上按照一定的方位切一片很薄的石英晶片,晶體的分布非常廣泛,自然界的固體物質中,絕大多數是晶體.氣體、液體和非晶物質在一定的合適條件下也可以轉變成晶體。而晶體可做成不同頻率類型的石英晶振,有源晶振,以及各種封裝尺寸晶振,3225晶振,2016貼片晶振,5032貼片晶振等
如圖2-1所示,按照不同的角度得到的石英晶片可以做成不同的石英晶振。
然后對石英晶片進行高精度研磨,使其達到特定要求的尺寸。接著在晶片的兩面涂敷金屬電極層,并且每個電級層與管腳相連,最后為了保護晶片,加上封裝外殼就形成了石英晶體諧振器。當封裝前加入元器件,構成振蕩電路以后再封裝就構成了石英晶振。
石英諧振器的表示符號和等效電路如圖2-2所示。其中L1為串聯等效電感,C1為串聯等效電容,R1為串聯等效電阻,Co為靜態電容。當石英諧振器沒有振動時,就可以等效成一個平板電容。其電容容量則取決于石英晶片的幾何尺寸和涂敷的金屬電極的尺寸。
當石英諧振器振動時,石英晶片就等效成一個串聯諧振回路。其中L相當于機械振動的慣性,C1相當于石英晶片的彈性,R1相當于石英晶片振動時由于摩擦而產生的損耗。因為L很大,C1和R1很小,因此回路的品質因數極高,可達100000~10000。
2.3石英諧振器的諧振頻率
如圖2-2,石英諧振器的等效電路是一個復諧振電路,有兩個諧振頻率。一個是晶片的自然振動頻率,也就是L1C1支路的串聯諧振頻率ωr:
另一個是石英諧振器的并聯諧振頻率ωL:
其中,C是C0和C1串聯后的總電容。出于C1>C,因此ωL>0r,。但是又因為C1<
2.4石英諧振器的電抗曲線
根據圖2-2等效電路可計算出該電路的阻抗為:
為了簡化計算,忽略電阻R1的影響,則阻抗的公式可簡化為只有電抗分量:
將(2-4)式分子和分母同時乘以 ,并將式(2-1),(2-2)代人,則有:
可以根據該式,畫出貼片晶振的電抗曲線如圖2-3所示[9]。
由式2-5可知,電抗X是頻率a的函數,其值和呈現的容性或感性都取決于頻率a。可以根據該式,畫出石英諧振器的電抗曲線如圖2-3所示[9]。
由圖2-3可知,當0<0<0,時,石英諧振器的電抗呈現出容性,即可以等效為個電容。當o=o,時,石英諧振器的電抗為0,出現串聯諧振現象。當0L>0)>0r時,石英諧振器的電抗呈現出感性,即可以等效為一個電感L。當a=0時,石英諧振器產生并聯諧振,此時的電抗為。當0>02以后,石英諧振器的電抗呈現出容性, 即可以等效為一個電容。在實際應用中,都會使石英諧振器工作在0n>>0,即將石英諧振器等效為一個電感L使用。則根據式2-5可得到:
出式2-6可知,電感L也是頻率ω的函數。在ωL>ω>ωr區間,電感L的值隨著ω增加而不斷增加,且當ω=ωr時,電感L的值為0:;當ω=ωr時,電感L的值為∞[9]
2.5石英晶振的溫度特性
石英晶振的一個主要的特性是溫度特性。所謂溫度特性是指頻率的偏移量隨菥溫度變化的關系。石英晶振的溫度特性主要由石英晶片的密度、外形尺寸、以及彈性率的溫度特性決定。為此要使石英晶振的溫度特性達到最優,只需將這三個溫度特性合成后趨于0即可。
因此,在石英晶振的實際設計中,努力尋找在指定溫度范圍內的這種最優條件。不同類型的石英晶振之所以要使用不同切割角度的石英晶片,就是設計人員根據不同的應用(包括使用的頻率和振動方式等)依據這個特性所決定的。
圖2-1是不同切割角度的溫度特性的比較。從圖中可以看出,當溫度在大于30℃時,按照AT角度切割的石英晶片的特性曲線比其他的特性曲線都平坦,說明在此溫度范圍內溫度變化后頻率產生的偏移量最小,溫度特性也最佳,如圖2-5所示,同是AT切割的時候,當切割角度有少量偏差時溫度特性曲線也會隨之變化。
正在載入評論數據...
相關資訊
- [2022-09-07]出色穩定性能的5032mm石英晶體振蕩器X1...
- [2022-08-01]diodes晶振專用于時間顯示設備的32.768...
- [2022-07-27]伊西斯的新型且創意的低姿態TCXO晶體振...
- [2020-06-22]深入探討有源晶振8個基礎參數詞匯
- [2020-05-25]SiTime開發的新軟件可模擬振蕩器時間誤...
- [2020-05-12]微處理器應該怎樣選擇匹配晶振?一文足...
- [2020-04-14]NDK株式會社差分振蕩器NP3225SBB規格更...
- [2020-03-13]不同類型的Crystal Oscillator工作與電...
- [2019-11-09]了解EPSON晶振獨特的封裝技術
- [2019-09-21]NDK振蕩器電路圖介紹及安裝示例
- [2019-09-16]擁有聲子晶體結構的AT切割諧振器共振分...
- [2019-09-04]SMD Oscillator高溫回流焊接的滯后反應...


銷售代表
售后服務